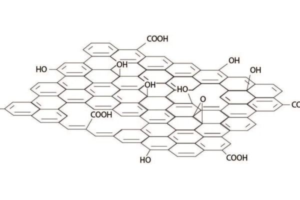
Learn how graphite oxide is shaping energy, electronics, and coatings by improving performance, durability, and material efficiency across industries.
Logan Smith
The Bovine Colostrum Market is witnessing robust expansion driven by increasing demand for natural health supplements and functional ingredients across various industries. Innovations in pro..
coherentkirti jadhav
Weight Loss Nutritionist Houston
Sigma Performance Training
The global Commissioning Services Market
was valued at USD 9.3 billion in 2023 and is projected to reach USD 22.8 billion by 2032, growing at a CAGR of 10.7% during 2024–2032. Growth is..
Jayshree Jjjj
Looking for a professional office cleaning company Dubai? AllClean Dubai offers reliable commercial cleaning, deep cleaning, and sanitization services tailored to your business needs.
Harley Turner
Looking for high-converting iGaming Traffic? Explore top providers to boost deposits, increase player acquisition, and scale fast with quality traffic.
mukesh sharma
In-depth analysis of pediatric preventive trends, innovation advancements, regional performance, and strategic opportunities shaping the dental sealants market.
Avinash More
Discover how ocean freight consolidation can reduce shipping costs and streamline international logistics. Learn about LCL ocean freight services, cargo consolidation, and global freight for..
johns mayer
The food preservatives market is witnessing dynamic emerging trends driven by clean-label demand, natural and plant-based solutions, multi-hurdle preservation strategies, and technological i..
Ashish Naidu
Priya high-profile Indian call girls is well-deserved. Her extensive experience in the industry, combined with her ability to effortlessly adapt to any situation
Priya Seth
Analyse og rapportering er fundamentet for vellykket Facebook Annonsering. Uten strukturert datainnsamling og systematisk gjennomgang av resultater blir annonseringen basert på gjetning frem..
Media Marketing
Explore the Atlas Mountains in Morocco with our detailed map guide. Discover peaks, trails, and travel tips for an unforgettable adventure.
Michael Jones
From home décor to fashion and even personal products, floral trends offer ways to bring nature into daily routines. These patterns and fragrances often have calming and uplifting effects, m..
harry john
En nettside som laster sakte, skaper frustrasjon hos brukere og kan føre til at de forlater siden. Optimalisering av bilder, kode og hosting er derfor viktig for både brukeropplevelse og ran..
Nettsidde design
Experience a secure and natural smile with URBN Dental’s professional implant-supported dentures in Houston.
Urbn Dental
Whether through social networks, work environments, or community engagement, people interact in complex ways that influence culture, business, and society. Recognizing these patterns helps i..
harry john
Need help on the road? Las Vegas 24 hour road side assistance offers towing, jump starts, flat tire service, lockout help, and emergency fuel delivery anytime.
Andrew Cameron
The fire sprinkler market is undergoing significant evolution driven by advancements in fire safety technology and increasing regulatory mandates worldwide. This market is pivotal in enhanci..
coherentkirti jadhav
Understand BIS Certification in dia, BIS registration, certificate process, license cost, required documents, and how to apply easily online.
sun consultant
The global socks market size was valued at USD 82.06 billion in 2024 and is projected to reach USD 130.79 billion by 2032, with a CAGR of 6.00% during the forecast period of 2025 to 2032
workin dbmr
Период
Категории
Важная реплика
Научный подход к реставрации ингушских башен
3 лет тому назад
Аблязов снова переходит в наступление
3 лет тому назад



















